IP - CA.1.endo_cardiac_valve
CM Codes
Data Overview
6053 total codes in komodo_rii; 161 retained after n_claims > 500 filter.
| CMS severity | n codes |
|---|---|
| No CC/MCC | 113 |
| CC | 35 |
| MCC | 13 |
PCA Analysis
PC1 explains 58.3% of variance; PC1+PC2 together explain 67.6%.



Tier Clustering (k=3)

Tier Summary
| tier | n_codes | n_claims | length of stay | n distinct rev codes | work rvu | n imaging lines | relative claim charge | organ system count | n j code lines | transfusion |
|---|---|---|---|---|---|---|---|---|---|---|
| 1 | 125.000 | 565596.000 | 3.353 | 16.242 | 0.937 | 0.209 | 1.011 | 4.214 | 0.326 | 0.093 |
| 2 | 25.000 | 56935.000 | 6.218 | 19.164 | 1.101 | 0.471 | 1.214 | 4.679 | 0.452 | 0.187 |
| 3 | 11.000 | 11969.000 | 11.753 | 23.928 | 1.768 | 1.013 | 1.646 | 4.790 | 0.817 | 0.305 |
CMS Severity × intensity Tier
| cms_severity | Tier 1 | Tier 2 | Tier 3 | All |
|---|---|---|---|---|
| CC | 23 | 10 | 2 | 35 |
| MCC | 2 | 3 | 8 | 13 |
| No CC/MCC | 100 | 12 | 1 | 113 |
| All | 125 | 25 | 11 | 161 |
Feature Analysis
Feature Correlation

Feature Audit
| pc1_loading | r_with_volume | r_with_severity | |
|---|---|---|---|
| avg_n_distinct_rev_codes | 0.343 | -0.249 | 0.531 |
| avg_length_of_stay | 0.341 | -0.247 | 0.530 |
| avg_relative_claim_charge | 0.338 | -0.241 | 0.508 |
| avg_n_imaging_lines | 0.332 | -0.293 | 0.483 |
| rate_transfusion | 0.327 | -0.169 | 0.400 |
| rate_mechanical_ventilation | 0.317 | -0.215 | 0.474 |
| rate_icu | 0.298 | -0.101 | 0.525 |
| avg_n_j_code_lines | 0.285 | -0.147 | 0.370 |
| rate_multiple_or_days | 0.233 | -0.104 | 0.284 |
| rate_or | 0.200 | -0.066 | 0.322 |
| avg_work_rvu | 0.173 | -0.090 | 0.270 |
| rate_dialysis | 0.145 | -0.056 | 0.454 |
| avg_organ_system_count | 0.124 | -0.216 | -0.076 |
| avg_n_distinct_hcps | 0.067 | -0.367 | -0.093 |
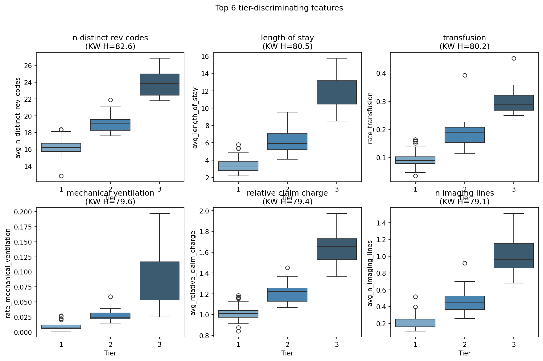
Top 6 Tier-Discriminating Features

Bottom 6 Tier-Discriminating Features

Score Validation



Misclassification Audit (N=10 samples)
Over-tiered: Tier 3, No CC/MCC (1 codes)
| code | code_description | cms_severity | intensity_score | tier | n_claims | key_drivers |
|---|---|---|---|---|---|---|
| E8720 | Acidosis, unspecified | No CC/MCC | 6.051 | 3 | 1338 | transfusion (+0.79), n distinct rev codes (+0.71), mechanical ventilation (+0.64) |
Under-tiered: Tier 1, MCC (2 codes)
| code | code_description | cms_severity | intensity_score | tier | n_claims | key_drivers |
|---|---|---|---|---|---|---|
| I5033 | Acute on chronic diastolic (congestive) heart failure | MCC | -0.446 | 1 | 15299 | n distinct hcps (-0.13), organ system count (-0.11), work rvu (-0.11) |
| I5031 | Acute diastolic (congestive) heart failure | MCC | 0.339 | 1 | 778 | n imaging lines (+0.30), work rvu (+0.21), n j code lines (-0.18) |
Top Codes by Tier
Tier 1 (n=125 codes)
| code | Description | CMS severity | Score | N claims | Key drivers |
|---|---|---|---|---|---|
| D696 | Thrombocytopenia, unspecified | No CC/MCC | 0.440 | 5312 | transfusion (+0.20), multiple or days (-0.19), work rvu (-0.10) |
| I4720 | Ventricular tachycardia, unspecified | No CC/MCC | 0.433 | 2258 | length of stay (+0.20), or (-0.18), relative claim charge (+0.18) |
| I5031 | Acute diastolic (congestive) heart failure | MCC | 0.339 | 778 | n imaging lines (+0.30), work rvu (+0.21), n j code lines (-0.18) |
| I471 | None | CC | 0.232 | 632 | n distinct hcps (+0.20), multiple or days (-0.14), length of stay (+0.13) |
| E8351 | Hypocalcemia | No CC/MCC | 0.206 | 565 | icu (-0.36), multiple or days (+0.23), transfusion (+0.17) |
| K449 | Diaphragmatic hernia without obstruction or gangrene | No CC/MCC | 0.130 | 533 | organ system count (+0.20), n j code lines (+0.18), transfusion (+0.14) |
| I25810 | Atherosclerosis of coronary artery bypass graft(s) without angina pectoris | CC | 0.111 | 822 | multiple or days (+0.31), n j code lines (+0.21), organ system count (-0.12) |
| I509 | Heart failure, unspecified | No CC/MCC | 0.087 | 3260 | work rvu (+0.53), icu (-0.21), n j code lines (+0.19) |
| T82857A | Stenosis of other cardiac prosthetic devices, implants and grafts, initial encounter | CC | 0.075 | 3912 | multiple or days (-0.20), work rvu (-0.12), or (+0.12) |
| I441 | Atrioventricular block, second degree | No CC/MCC | -0.054 | 866 | multiple or days (+0.40), transfusion (-0.11), organ system count (-0.11) |
Tier 2 (n=25 codes)
| code | Description | CMS severity | Score | N claims | Key drivers |
|---|---|---|---|---|---|
| F05 | Delirium due to known physiological condition | CC | 5.052 | 585 | n imaging lines (+0.86), length of stay (+0.71), n distinct rev codes (+0.70) |
| E875 | Hyperkalemia | No CC/MCC | 3.984 | 800 | transfusion (+0.50), n distinct rev codes (+0.49), multiple or days (+0.44) |
| N179 | Acute kidney failure, unspecified | CC | 3.826 | 5215 | length of stay (+0.61), n distinct rev codes (+0.57), n imaging lines (+0.55) |
| D62 | Acute posthemorrhagic anemia | CC | 3.567 | 4261 | transfusion (+1.30), icu (+0.44), relative claim charge (+0.34) |
| J9811 | Atelectasis | CC | 3.514 | 1042 | icu (+0.76), n distinct rev codes (+0.51), transfusion (+0.45) |
| N186 | End stage renal disease | MCC | 3.505 | 2651 | dialysis (+1.10), n j code lines (+0.46), transfusion (+0.41) |
| I132 | Hypertensive heart and chronic kidney disease with heart failure and with stage 5 chronic kidney disease, or end stage renal disease | CC | 3.263 | 2199 | dialysis (+1.04), transfusion (+0.37), n j code lines (+0.34) |
| K5900 | Constipation, unspecified | No CC/MCC | 3.175 | 604 | n distinct rev codes (+0.50), length of stay (+0.46), n imaging lines (+0.45) |
| E871 | Hypo-osmolality and hyponatremia | CC | 2.859 | 3399 | length of stay (+0.54), n distinct rev codes (+0.48), n imaging lines (+0.46) |
| I3139 | Other pericardial effusion (noninflammatory) | No CC/MCC | 2.770 | 1705 | transfusion (+0.50), icu (+0.39), n j code lines (+0.36) |
Tier 3 (n=11 codes)
| code | Description | CMS severity | Score | N claims | Key drivers |
|---|---|---|---|---|---|
| G9341 | Metabolic encephalopathy | MCC | 13.197 | 528 | mechanical ventilation (+2.35), n imaging lines (+1.69), n distinct rev codes (+1.44) |
| N170 | Acute kidney failure with tubular necrosis | MCC | 13.119 | 731 | relative claim charge (+1.62), transfusion (+1.58), length of stay (+1.57) |
| E43 | Unspecified severe protein-calorie malnutrition | MCC | 10.396 | 760 | n j code lines (+2.10), relative claim charge (+1.22), multiple or days (+1.15) |
| J9601 | Acute respiratory failure with hypoxia | MCC | 9.162 | 3467 | mechanical ventilation (+1.45), n distinct rev codes (+1.01), relative claim charge (+0.95) |
| J189 | Pneumonia, unspecified organism | MCC | 8.999 | 848 | length of stay (+1.25), n distinct rev codes (+1.20), n imaging lines (+1.17) |
| J9621 | Acute and chronic respiratory failure with hypoxia | MCC | 8.879 | 994 | length of stay (+1.18), n distinct rev codes (+1.12), relative claim charge (+1.04) |
| I21A1 | Myocardial infarction type 2 | MCC | 6.634 | 908 | n imaging lines (+1.21), relative claim charge (+1.04), n distinct rev codes (+0.99) |
| J90 | Pleural effusion, not elsewhere classified | CC | 6.268 | 740 | work rvu (+0.88), transfusion (+0.73), n j code lines (+0.71) |
| I214 | Non-ST elevation (NSTEMI) myocardial infarction | MCC | 6.236 | 1000 | n imaging lines (+1.21), relative claim charge (+1.13), length of stay (+0.92) |
| E8720 | Acidosis, unspecified | No CC/MCC | 6.051 | 1338 | transfusion (+0.79), n distinct rev codes (+0.71), mechanical ventilation (+0.64) |
Key Driver Frequency
| feature | count | pct |
|---|---|---|
| icu | 63 | 39.100 |
| n distinct rev codes | 62 | 38.500 |
| transfusion | 57 | 35.400 |
| length of stay | 53 | 32.900 |
| multiple or days | 46 | 28.600 |
| relative claim charge | 41 | 25.500 |
| n j code lines | 35 | 21.700 |
| n imaging lines | 32 | 19.900 |
| or | 31 | 19.300 |
| work rvu | 23 | 14.300 |
| organ system count | 22 | 13.700 |
| mechanical ventilation | 12 | 7.500 |
| dialysis | 4 | 2.500 |
| n distinct hcps | 2 | 1.200 |

PCS Codes
Data Overview
2494 total codes in komodo_rii; 47 retained after n_claims > 500 filter.
PCA Analysis
PC1 explains 53.4% of variance; PC1+PC2 together explain 65.1%.



Tier Clustering (k=4)

Tier Summary
| tier | n_codes | n_claims | length of stay | n distinct rev codes | organ system count | work rvu | relative claim charge | n imaging lines | n j code lines | mechanical ventilation |
|---|---|---|---|---|---|---|---|---|---|---|
| 1 | 22.000 | 163478.000 | 3.338 | 16.646 | 3.678 | 0.933 | 1.011 | 0.220 | 0.416 | 0.009 |
| 2 | 11.000 | 23365.000 | 4.917 | 18.550 | 3.811 | 0.902 | 1.199 | 0.320 | 0.547 | 0.024 |
| 3 | 10.000 | 19066.000 | 7.530 | 20.896 | 4.278 | 1.218 | 1.361 | 0.621 | 0.586 | 0.039 |
| 4 | 4.000 | 3212.000 | 11.663 | 24.411 | 4.715 | 1.663 | 1.745 | 0.868 | 1.036 | 0.287 |
Feature Analysis
Feature Correlation

Feature Audit
| pc1_loading | r_with_volume | |
|---|---|---|
| avg_n_distinct_rev_codes | 0.351 | -0.431 |
| avg_length_of_stay | 0.349 | -0.317 |
| avg_relative_claim_charge | 0.345 | -0.319 |
| avg_n_imaging_lines | 0.328 | -0.320 |
| avg_organ_system_count | 0.320 | -0.256 |
| rate_icu | 0.290 | -0.458 |
| rate_transfusion | 0.262 | -0.295 |
| rate_mechanical_ventilation | 0.243 | -0.294 |
| rate_multiple_or_days | 0.223 | -0.306 |
| avg_n_j_code_lines | 0.216 | -0.570 |
| avg_n_distinct_hcps | 0.187 | 0.050 |
| rate_or | 0.186 | -0.179 |
| avg_work_rvu | 0.182 | -0.433 |
| rate_dialysis | 0.124 | -0.398 |
Top 6 Tier-Discriminating Features

Bottom 6 Tier-Discriminating Features

Score Validation


Top Codes by Tier
Tier 1 (n=22 codes)
| code | Description | Score | N claims | Key drivers |
|---|---|---|---|---|
| 027F3ZZ | DILATION OF AORTIC VALVE, PERCUTANEOUS APPROACH | -1.432 | 2242 | organ system count (-0.22), n distinct rev codes (-0.19), length of stay (-0.19) |
| B41F1ZZ | FLUOROSCOPY OF RIGHT LOWER EXTREMITY ARTERIES USING LOW OSMOLAR CONTRAST | -1.620 | 2951 | length of stay (-0.31), relative claim charge (-0.26), n distinct rev codes (-0.25) |
| 4A023N7 | MEASUREMENT OF CARDIAC SAMPLING AND PRESSURE, LEFT HEART, PERCUTANEOUS APPROACH | -1.643 | 9818 | relative claim charge (-0.21), length of stay (-0.19), n distinct rev codes (-0.18) |
| B246ZZZ | ULTRASONOGRAPHY OF RIGHT AND LEFT HEART | -1.674 | 1374 | work rvu (+0.43), organ system count (-0.39), relative claim charge (-0.33) |
| B24BZZ4 | ULTRASONOGRAPHY OF HEART WITH AORTA, TRANSESOPHAGEAL | -1.679 | 11389 | relative claim charge (-0.24), n imaging lines (-0.21), length of stay (-0.21) |
| 5A1223Z | PERFORMANCE OF CARDIAC PACING, CONTINUOUS | -1.737 | 13556 | work rvu (-0.28), length of stay (-0.24), n distinct rev codes (-0.24) |
| X2A5312 | CEREBRAL EMBOLIC FILTRATION, DUAL FILTER IN INNOMINATE ARTERY AND LEFT COMMON CAROTID ARTERY, PERCUTANEOUS APPROACH, NEW TECHNOLOGY GROUP 2 | -1.820 | 6911 | n distinct hcps (+0.47), work rvu (-0.30), n distinct rev codes (-0.29) |
| B246ZZ4 | ULTRASONOGRAPHY OF RIGHT AND LEFT HEART, TRANSESOPHAGEAL | -1.820 | 3729 | organ system count (-0.25), n distinct rev codes (-0.23), multiple or days (-0.21) |
| B24CZZ4 | ULTRASONOGRAPHY OF PERICARDIUM, TRANSESOPHAGEAL | -1.898 | 504 | relative claim charge (-0.31), length of stay (-0.30), multiple or days (-0.30) |
| 02UJ3JZ | SUPPLEMENT TRICUSPID VALVE WITH SYNTHETIC SUBSTITUTE, PERCUTANEOUS APPROACH | -1.942 | 1161 | icu (-0.40), organ system count (-0.33), n distinct rev codes (-0.33) |
Tier 2 (n=11 codes)
| code | Description | Score | N claims | Key drivers |
|---|---|---|---|---|
| 5A2204Z | RESTORATION OF CARDIAC RHYTHM, SINGLE | 0.441 | 1133 | length of stay (+0.16), relative claim charge (+0.13), icu (+0.11) |
| 02RG38Z | REPLACEMENT OF MITRAL VALVE WITH ZOOPLASTIC TISSUE, PERCUTANEOUS APPROACH | 0.084 | 1324 | organ system count (+0.37), multiple or days (-0.24), relative claim charge (+0.12) |
| 4A133J1 | MONITORING OF ARTERIAL PULSE, PERIPHERAL, PERCUTANEOUS APPROACH | 0.038 | 707 | n j code lines (+0.55), n distinct hcps (-0.33), icu (+0.23) |
| 02H63JZ | INSERTION OF PACEMAKER LEAD INTO RIGHT ATRIUM, PERCUTANEOUS APPROACH | -0.135 | 3575 | relative claim charge (+0.22), n j code lines (-0.15), organ system count (-0.15) |
| 0JH606Z | INSERTION OF PACEMAKER, DUAL CHAMBER INTO CHEST SUBCUTANEOUS TISSUE AND FASCIA, OPEN APPROACH | -0.176 | 3437 | relative claim charge (+0.22), n j code lines (-0.15), n imaging lines (-0.15) |
| 03HY32Z | INSERTION OF MONITORING DEVICE INTO UPPER ARTERY, PERCUTANEOUS APPROACH | -0.402 | 3082 | icu (+0.19), organ system count (-0.15), n distinct hcps (-0.09) |
| B24BYZZ | ULTRASONOGRAPHY OF HEART WITH AORTA USING OTHER CONTRAST | -0.474 | 882 | icu (+0.32), multiple or days (+0.32), length of stay (-0.29) |
| 4A133B1 | MONITORING OF ARTERIAL PRESSURE, PERIPHERAL, PERCUTANEOUS APPROACH | -0.479 | 1119 | icu (+0.33), n j code lines (+0.28), organ system count (-0.23) |
| 02PA3MZ | REMOVAL OF CARDIAC LEAD FROM HEART, PERCUTANEOUS APPROACH | -0.492 | 1041 | icu (+0.50), or (+0.42), organ system count (-0.35) |
| 02HK3JZ | INSERTION OF PACEMAKER LEAD INTO RIGHT VENTRICLE, PERCUTANEOUS APPROACH | -0.510 | 5433 | work rvu (-0.19), organ system count (-0.18), n j code lines (-0.17) |
Tier 3 (n=10 codes)
| code | Description | Score | N claims | Key drivers |
|---|---|---|---|---|
| 30233N1 | TRANSFUSION OF NONAUTOLOGOUS RED BLOOD CELLS INTO PERIPHERAL VEIN, PERCUTANEOUS APPROACH | 3.711 | 1866 | transfusion (+1.41), organ system count (+0.58), n distinct rev codes (+0.41) |
| 02HK3NZ | INSERTION OF INTRACARDIAC PACEMAKER INTO RIGHT VENTRICLE, PERCUTANEOUS APPROACH | 2.790 | 609 | multiple or days (+0.73), relative claim charge (+0.59), n distinct rev codes (+0.36) |
| 4A023N6 | MEASUREMENT OF CARDIAC SAMPLING AND PRESSURE, RIGHT HEART, PERCUTANEOUS APPROACH | 2.536 | 2381 | length of stay (+0.52), n imaging lines (+0.49), work rvu (+0.36) |
| B211YZZ | FLUOROSCOPY OF MULTIPLE CORONARY ARTERIES USING OTHER CONTRAST | 2.256 | 852 | n imaging lines (+0.47), n distinct rev codes (+0.33), n j code lines (+0.29) |
| 5A1D70Z | PERFORMANCE OF URINARY FILTRATION, INTERMITTENT, LESS THAN 6 HOURS PER DAY | 2.154 | 1833 | dialysis (+0.81), organ system count (+0.63), n distinct rev codes (+0.25) |
| 5A09357 | ASSISTANCE WITH RESPIRATORY VENTILATION, LESS THAN 24 CONSECUTIVE HOURS, CONTINUOUS POSITIVE AIRWAY PRESSURE | 1.744 | 1629 | organ system count (+0.60), length of stay (+0.29), n distinct rev codes (+0.28) |
| 027034Z | DILATION OF CORONARY ARTERY, ONE ARTERY WITH DRUG-ELUTING INTRALUMINAL DEVICE, PERCUTANEOUS APPROACH | 1.620 | 851 | n imaging lines (+0.47), n distinct rev codes (+0.39), relative claim charge (+0.35) |
| 4A023N8 | MEASUREMENT OF CARDIAC SAMPLING AND PRESSURE, BILATERAL, PERCUTANEOUS APPROACH | 1.437 | 2309 | n imaging lines (+0.60), length of stay (+0.40), n distinct rev codes (+0.31) |
| 3E033XZ | INTRODUCTION OF VASOPRESSOR INTO PERIPHERAL VEIN, PERCUTANEOUS APPROACH | 1.379 | 1429 | icu (+0.36), or (+0.23), organ system count (+0.22) |
| B2111ZZ | FLUOROSCOPY OF MULTIPLE CORONARY ARTERIES USING LOW OSMOLAR CONTRAST | 1.160 | 5307 | n imaging lines (+0.56), length of stay (+0.31), n distinct rev codes (+0.27) |
Tier 4 (n=4 codes)
| code | Description | Score | N claims | Key drivers |
|---|---|---|---|---|
| 0BH17EZ | INSERTION OF ENDOTRACHEAL AIRWAY INTO TRACHEA, VIA NATURAL OR ARTIFICIAL OPENING | 9.418 | 608 | mechanical ventilation (+1.60), relative claim charge (+1.26), n distinct rev codes (+1.03) |
| 3E043XZ | INTRODUCTION OF VASOPRESSOR INTO CENTRAL VEIN, PERCUTANEOUS APPROACH | 6.697 | 615 | n j code lines (+0.86), multiple or days (+0.79), icu (+0.67) |
| 0W993ZZ | DRAINAGE OF RIGHT PLEURAL CAVITY, PERCUTANEOUS APPROACH | 6.117 | 514 | length of stay (+1.03), n distinct rev codes (+1.01), n imaging lines (+0.78) |
| 02HV33Z | INSERTION OF INFUSION DEVICE INTO SUPERIOR VENA CAVA, PERCUTANEOUS APPROACH | 5.572 | 1475 | length of stay (+0.77), relative claim charge (+0.75), n imaging lines (+0.62) |
Key Driver Frequency
| feature | count | pct |
|---|---|---|
| n distinct rev codes | 24 | 51.100 |
| length of stay | 22 | 46.800 |
| relative claim charge | 20 | 42.600 |
| organ system count | 16 | 34.000 |
| icu | 14 | 29.800 |
| n imaging lines | 11 | 23.400 |
| n j code lines | 9 | 19.100 |
| multiple or days | 7 | 14.900 |
| work rvu | 6 | 12.800 |
| n distinct hcps | 5 | 10.600 |
| or | 4 | 8.500 |
| dialysis | 1 | 2.100 |
| transfusion | 1 | 2.100 |
| mechanical ventilation | 1 | 2.100 |
