Skip to main content

IP - CA.1.other_circulatory

CM Codes

Data Overview

12532 total codes in komodo_rii; 424 retained after n_claims > 500 filter.

CMS severityn codes
No CC/MCC230
CC153
MCC41

PCA Analysis

PC1 explains 42.4% of variance; PC1+PC2 together explain 58.5%.

PCA scree plot

Feature loadings

intensity distribution

Tier Clustering (k=3)

KMeans elbow

Tier Summary

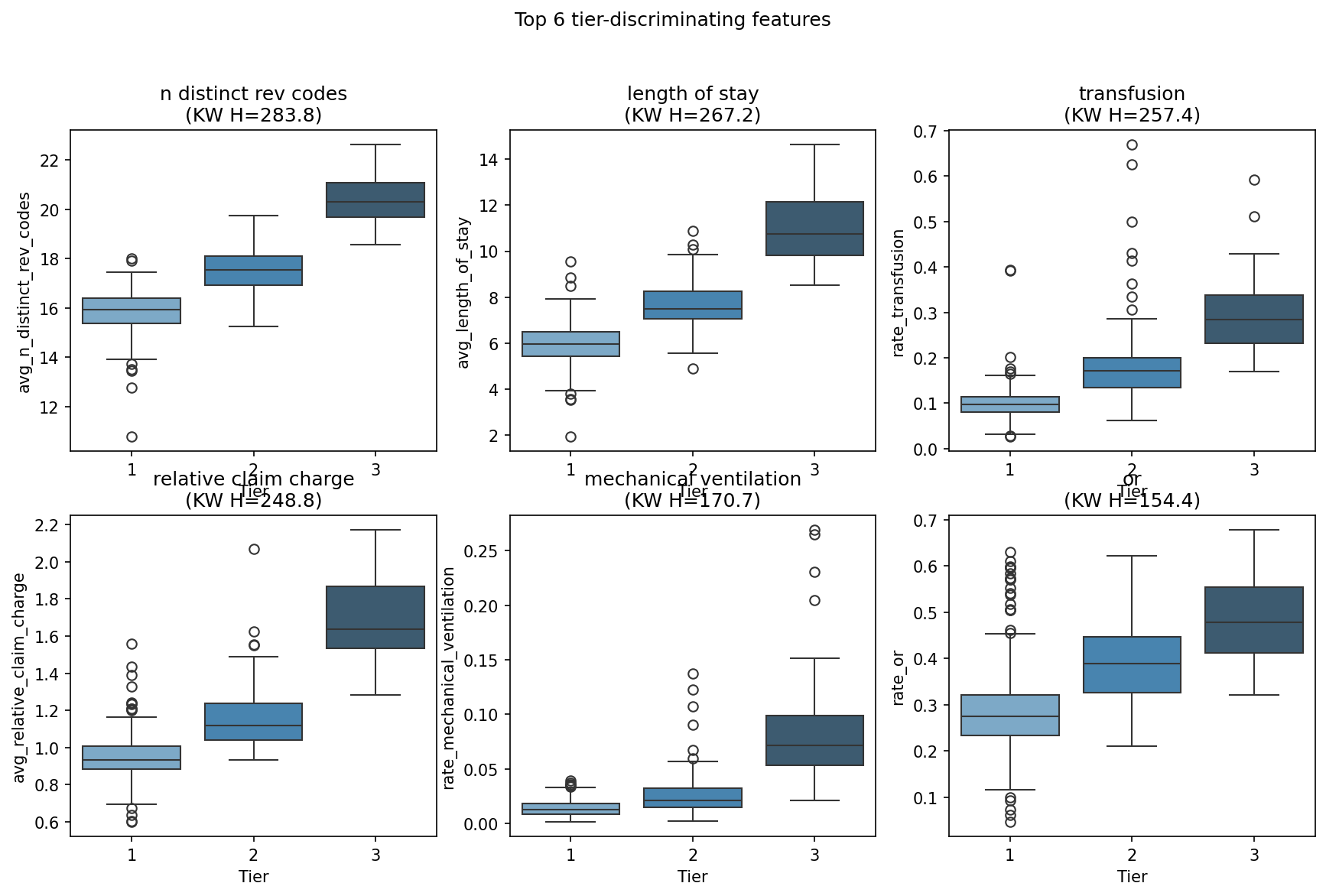
tiern_codesn_claimslength of stayn distinct rev codesorgan system countrelative claim chargen j code lineswork rvun imaging linestransfusion
1221.000776365.0005.96815.8295.8470.9490.5880.7700.7800.099
2155.000486578.0007.65617.5546.3501.1530.7710.8590.9150.182
348.000104604.00010.97120.4416.6491.6911.0621.2051.2090.294

CMS Severity × intensity Tier

cms_severityTier 1Tier 2Tier 3All
CC726318153
MCC3132541
No CC/MCC146795230
All22115548424

Feature Analysis

Feature Correlation

Feature correlation heatmap

Feature Audit

pc1_loadingr_with_volumer_with_severity
avg_n_distinct_rev_codes0.3850.0250.350
avg_length_of_stay0.375-0.0660.360
avg_relative_claim_charge0.367-0.0730.409
rate_transfusion0.3070.0310.391
rate_mechanical_ventilation0.3000.0340.489
avg_n_imaging_lines0.274-0.0780.215
rate_or0.259-0.0060.357
rate_icu0.2180.1260.266
rate_multiple_or_days0.210-0.0070.124
avg_organ_system_count0.205-0.057-0.165
avg_n_j_code_lines0.204-0.0620.153
avg_n_distinct_hcps0.175-0.119-0.088
rate_dialysis0.1590.1540.220
avg_work_rvu0.140-0.0380.018

Top 6 Tier-Discriminating Features

Top 6 features

Bottom 6 Tier-Discriminating Features

Bottom 6 features

Score Validation

intensity by CMS severity

Volume vs intensity

intensity scatter

Misclassification Audit (N=10 samples)

Over-tiered: Tier 3, No CC/MCC (5 codes)

codecode_descriptioncms_severityintensity_scoretiern_claimskey_drivers
G928Other toxic encephalopathyNo CC/MCC7.99932978relative claim charge (+1.23), n distinct rev codes (+1.23), n imaging lines (+1.12)
I953Hypotension of hemodialysisNo CC/MCC4.6813892dialysis (+0.71), n distinct hcps (+0.59), n distinct rev codes (+0.57)
E8729Other acidosisNo CC/MCC3.77531062mechanical ventilation (+0.76), relative claim charge (+0.64), n distinct rev codes (+0.63)
L89152Pressure ulcer of sacral region, stage 2No CC/MCC3.4763536length of stay (+0.75), n distinct rev codes (+0.61), organ system count (+0.40)
D6959Other secondary thrombocytopeniaNo CC/MCC3.36431790transfusion (+0.63), n distinct rev codes (+0.54), length of stay (+0.47)

Under-tiered: Tier 1, MCC (3 codes)

codecode_descriptioncms_severityintensity_scoretiern_claimskey_drivers
I214Non-ST elevation (NSTEMI) myocardial infarctionMCC-4.9371667n distinct hcps (-0.74), or (-0.61), length of stay (-0.56)
I400Infective myocarditisMCC-4.5261719n distinct rev codes (-0.77), organ system count (-0.75), length of stay (-0.71)
I5031Acute diastolic (congestive) heart failureMCC-0.67711264organ system count (-0.29), n distinct rev codes (+0.20), transfusion (-0.19)

Top Codes by Tier

Tier 1 (n=221 codes)

codeDescriptionCMS severityScoreN claimsKey drivers
E1065Type 1 diabetes mellitus with hyperglycemiaNo CC/MCC-0.464518dialysis (+0.28), organ system count (+0.20), n imaging lines (-0.18)
I69354Hemiplegia and hemiparesis following cerebral infarction affecting left non-dominant sideCC-0.4671670multiple or days (-0.27), n imaging lines (+0.20), n j code lines (-0.20)
D6869Other thrombophiliaCC-0.483995n distinct hcps (-0.22), mechanical ventilation (-0.15), n j code lines (+0.15)
E1140Type 2 diabetes mellitus with diabetic neuropathy, unspecifiedNo CC/MCC-0.4913405relative claim charge (-0.18), mechanical ventilation (-0.17), length of stay (-0.14)
F840Autistic disorderCC-0.547543n imaging lines (-0.34), n distinct hcps (+0.27), n distinct rev codes (-0.25)
F39Unspecified mood [affective] disorderNo CC/MCC-0.5531044relative claim charge (-0.25), multiple or days (+0.22), n distinct rev codes (-0.20)
E1143Type 2 diabetes mellitus with diabetic autonomic (poly)neuropathyNo CC/MCC-0.566994multiple or days (-0.30), organ system count (+0.26), n j code lines (-0.19)
N401Benign prostatic hyperplasia with lower urinary tract symptomsNo CC/MCC-0.5681474multiple or days (+0.18), length of stay (-0.18), transfusion (-0.18)
K912Postsurgical malabsorption, not elsewhere classifiedCC-0.5971526length of stay (+0.48), or (+0.45), n imaging lines (-0.45)
E1151Type 2 diabetes mellitus with diabetic peripheral angiopathy without gangreneNo CC/MCC-0.6004890length of stay (-0.17), n j code lines (-0.16), relative claim charge (-0.16)

Tier 2 (n=155 codes)

codeDescriptionCMS severityScoreN claimsKey drivers
D61810Antineoplastic chemotherapy induced pancytopeniaMCC2.9652233transfusion (+1.61), n distinct rev codes (+0.41), length of stay (+0.31)
T826XXAInfection and inflammatory reaction due to cardiac valve prosthesis, initial encounterCC2.9313788length of stay (+0.75), n imaging lines (+0.64), n distinct rev codes (+0.60)
T80211ABloodstream infection due to central venous catheter, initial encounterCC2.68328116or (+0.61), length of stay (+0.44), n distinct rev codes (+0.44)
J189Pneumonia, unspecified organismMCC2.6378799n distinct rev codes (+0.57), relative claim charge (+0.37), n imaging lines (+0.34)
E43Unspecified severe protein-calorie malnutritionMCC2.6099060length of stay (+0.63), n distinct rev codes (+0.51), relative claim charge (+0.51)
J9621Acute and chronic respiratory failure with hypoxiaMCC2.5926329relative claim charge (+0.60), mechanical ventilation (+0.60), icu (+0.57)
N136PyonephrosisCC2.502543n distinct rev codes (+0.54), n imaging lines (+0.39), transfusion (+0.39)
K766Portal hypertensionCC2.4401491transfusion (+0.46), n distinct rev codes (+0.34), n distinct hcps (+0.25)
D61818Other pancytopeniaCC2.3493989transfusion (+0.89), n distinct rev codes (+0.36), length of stay (+0.33)
E46Unspecified protein-calorie malnutritionCC2.2562478length of stay (+0.54), n distinct rev codes (+0.34), transfusion (+0.31)

Tier 3 (n=48 codes)

codeDescriptionCMS severityScoreN claimsKey drivers
I2690Septic pulmonary embolism without acute cor pulmonaleMCC9.023785length of stay (+1.49), relative claim charge (+1.18), n distinct rev codes (+1.16)
K7200Acute and subacute hepatic failure without comaMCC8.8281049mechanical ventilation (+2.25), relative claim charge (+1.41), n distinct rev codes (+1.23)
J9602Acute respiratory failure with hypercapniaMCC8.6671200mechanical ventilation (+2.22), relative claim charge (+1.34), n distinct rev codes (+1.21)
J690Pneumonitis due to inhalation of food and vomitMCC8.5972088mechanical ventilation (+1.66), relative claim charge (+1.28), length of stay (+1.22)
I76Septic arterial embolismCC8.090990n imaging lines (+1.39), length of stay (+1.28), relative claim charge (+1.26)
G928Other toxic encephalopathyNo CC/MCC7.9992978relative claim charge (+1.23), n distinct rev codes (+1.23), n imaging lines (+1.12)
J9600Acute respiratory failure, unspecified whether with hypoxia or hypercapniaMCC7.794609mechanical ventilation (+1.90), n j code lines (+0.96), relative claim charge (+0.92)
K567Ileus, unspecifiedCC7.371618length of stay (+1.33), relative claim charge (+1.14), n j code lines (+1.08)
A4102Sepsis due to Methicillin resistant Staphylococcus aureusMCC7.2073861n distinct rev codes (+1.19), relative claim charge (+1.15), length of stay (+1.05)
B377Candidal sepsisMCC7.0041236length of stay (+1.46), relative claim charge (+1.33), n distinct rev codes (+0.94)

Key Driver Frequency

featurecountpct
n distinct rev codes20147.400
relative claim charge18443.400
length of stay18343.200
or11627.400
transfusion8921.000
organ system count8620.300
n imaging lines7718.200
multiple or days7417.500
icu7116.700
n distinct hcps5613.200
n j code lines4811.300
mechanical ventilation399.200
dialysis307.100
work rvu184.200

Key driver frequency

PCS Codes

Data Overview

3049 total codes in komodo_rii; 73 retained after n_claims > 500 filter.

PCA Analysis

PC1 explains 35.6% of variance; PC1+PC2 together explain 56.4%.

PCA scree plot

Feature loadings

intensity distribution

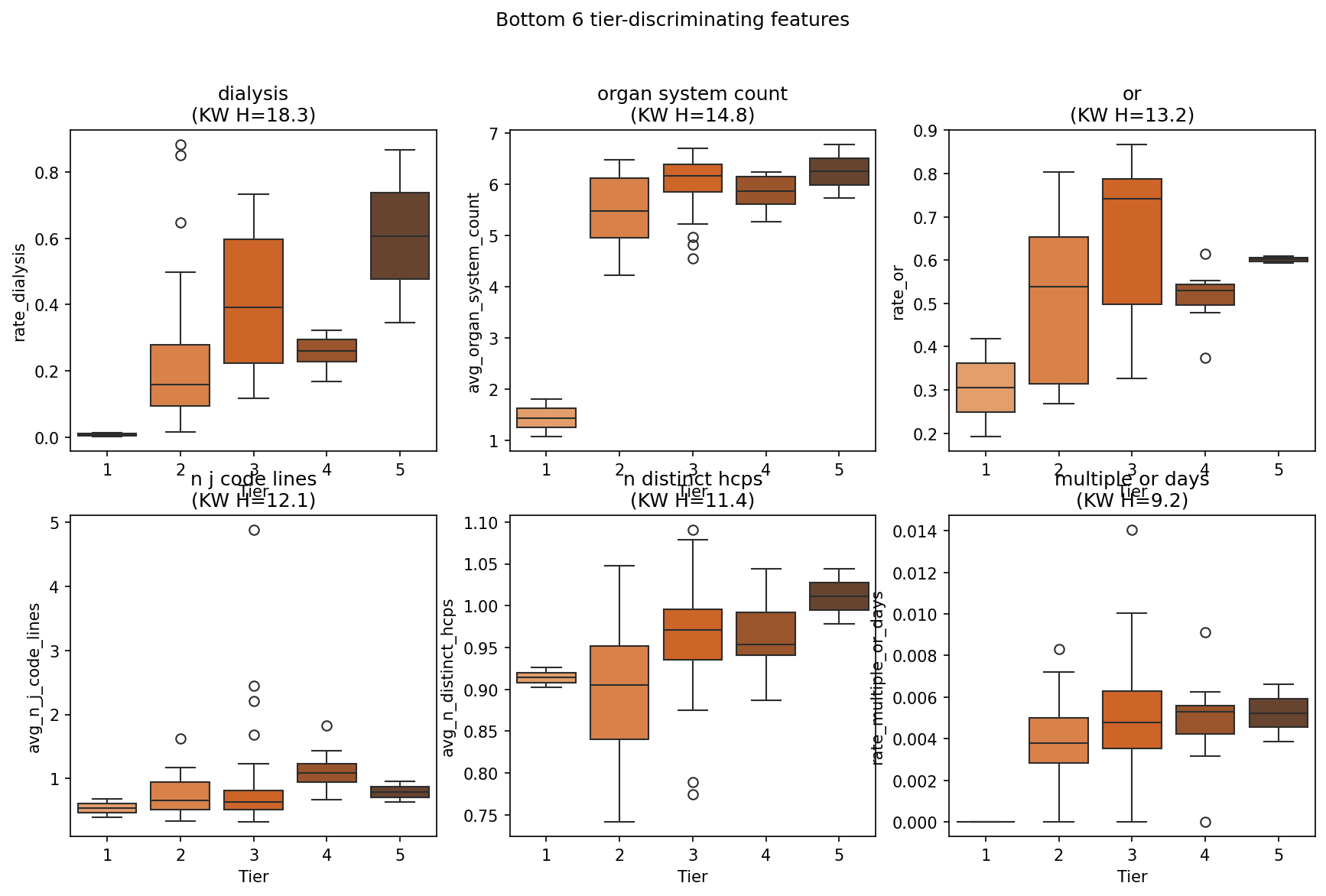
Tier Clustering (k=5)

KMeans elbow

Tier Summary

tiern_codesn_claimslength of stayn distinct rev codesorgan system countrelative claim chargen imaging lineswork rvuicumechanical ventilation
12.0001411.0001.47413.6191.4401.4500.1910.0970.0360.139
220.00056543.0007.62518.2495.5121.3640.8360.5550.3830.052
338.000100641.0009.45420.2766.0041.6650.9850.7030.4440.106
411.00012721.00010.98322.3655.8452.4221.3831.2430.6290.346
52.0001984.00014.50724.8996.2553.7601.4901.0810.7530.683

Feature Analysis

Feature Correlation

Feature correlation heatmap

Feature Audit

pc1_loadingr_with_volume
avg_n_distinct_rev_codes0.424-0.011
avg_length_of_stay0.389-0.088
avg_n_imaging_lines0.363-0.157
avg_relative_claim_charge0.356-0.118
rate_icu0.332-0.063
rate_transfusion0.272-0.092
avg_work_rvu0.239-0.032
avg_organ_system_count0.2380.128
rate_mechanical_ventilation0.231-0.180
rate_multiple_or_days0.1530.116
avg_n_distinct_hcps0.1330.174
avg_n_j_code_lines0.088-0.045
rate_dialysis0.0870.087
rate_or0.0600.250

Top 6 Tier-Discriminating Features

Top 6 features

Bottom 6 Tier-Discriminating Features

Bottom 6 features

Score Validation

Volume vs intensity

intensity scatter

Top Codes by Tier

Tier 1 (n=2 codes)

codeDescriptionScoreN claimsKey drivers
3E0234ZINTRODUCTION OF SERUM, TOXOID AND VACCINE INTO MUSCLE, PERCUTANEOUS APPROACH-6.650848n distinct rev codes (-1.37), length of stay (-1.26), organ system count (-1.01)
0VTTXZZRESECTION OF PREPUCE, EXTERNAL APPROACH-7.363563length of stay (-1.49), n distinct rev codes (-1.27), organ system count (-1.20)

Tier 2 (n=20 codes)

codeDescriptionScoreN claimsKey drivers
5A09357ASSISTANCE WITH RESPIRATORY VENTILATION, LESS THAN 24 CONSECUTIVE HOURS, CONTINUOUS POSITIVE AIRWAY PRESSURE-0.9324390length of stay (-0.24), n distinct rev codes (-0.23), transfusion (-0.19)
05PYX3ZREMOVAL OF INFUSION DEVICE FROM UPPER VEIN, EXTERNAL APPROACH-0.9481897icu (-0.24), relative claim charge (-0.20), organ system count (+0.19)
05HC33ZINSERTION OF INFUSION DEVICE INTO LEFT BASILIC VEIN, PERCUTANEOUS APPROACH-1.093555work rvu (-0.27), n distinct hcps (-0.26), relative claim charge (-0.20)
05HY33ZINSERTION OF INFUSION DEVICE INTO UPPER VEIN, PERCUTANEOUS APPROACH-1.2081578n distinct hcps (-0.25), n distinct rev codes (-0.24), work rvu (-0.21)
0JPT0WZREMOVAL OF TOTALLY IMPLANTABLE VASCULAR ACCESS DEVICE FROM TRUNK SUBCUTANEOUS TISSUE AND FASCIA, OPEN APPROACH-1.2224074icu (-0.37), relative claim charge (-0.26), n distinct rev codes (-0.21)
05PY33ZREMOVAL OF INFUSION DEVICE FROM UPPER VEIN, PERCUTANEOUS APPROACH-1.2481249icu (-0.28), relative claim charge (-0.23), n imaging lines (-0.21)
5A2204ZRESTORATION OF CARDIAC RHYTHM, SINGLE-1.3671187length of stay (-0.38), n distinct rev codes (-0.30), icu (+0.26)
5A1D70ZPERFORMANCE OF URINARY FILTRATION, INTERMITTENT, LESS THAN 6 HOURS PER DAY-1.39823710relative claim charge (-0.31), n distinct rev codes (-0.29), n imaging lines (-0.27)
3E0436ZINTRODUCTION OF NUTRITIONAL SUBSTANCE INTO CENTRAL VEIN, PERCUTANEOUS APPROACH-1.5512454n distinct rev codes (-0.48), n imaging lines (-0.46), icu (-0.44)
0JPT3WZREMOVAL OF TOTALLY IMPLANTABLE VASCULAR ACCESS DEVICE FROM TRUNK SUBCUTANEOUS TISSUE AND FASCIA, PERCUTANEOUS APPROACH-1.620890icu (-0.39), n distinct rev codes (-0.30), relative claim charge (-0.30)

Tier 3 (n=38 codes)

codeDescriptionScoreN claimsKey drivers
30233N1TRANSFUSION OF NONAUTOLOGOUS RED BLOOD CELLS INTO PERIPHERAL VEIN, PERCUTANEOUS APPROACH1.3076712transfusion (+1.03), n distinct rev codes (+0.16), length of stay (+0.13)
0DB68ZXEXCISION OF STOMACH, VIA NATURAL OR ARTIFICIAL OPENING ENDOSCOPIC, DIAGNOSTIC1.191948n distinct rev codes (+0.45), n imaging lines (+0.34), multiple or days (+0.32)
5A12012PERFORMANCE OF CARDIAC OUTPUT, SINGLE, MANUAL1.063751mechanical ventilation (+0.46), icu (+0.40), n imaging lines (+0.22)
0DJD8ZZINSPECTION OF LOWER INTESTINAL TRACT, VIA NATURAL OR ARTIFICIAL OPENING ENDOSCOPIC0.944545length of stay (+0.36), n distinct rev codes (+0.36), transfusion (+0.35)
06HY33ZINSERTION OF INFUSION DEVICE INTO LOWER VEIN, PERCUTANEOUS APPROACH0.8671314relative claim charge (+0.31), n distinct rev codes (+0.20), mechanical ventilation (+0.13)
3E033XZINTRODUCTION OF VASOPRESSOR INTO PERIPHERAL VEIN, PERCUTANEOUS APPROACH0.8662310icu (+0.69), n imaging lines (+0.24), length of stay (-0.14)
0W9G3ZZDRAINAGE OF PERITONEAL CAVITY, PERCUTANEOUS APPROACH0.7971350length of stay (+0.17), n distinct rev codes (+0.13), n j code lines (+0.12)
0W993ZZDRAINAGE OF RIGHT PLEURAL CAVITY, PERCUTANEOUS APPROACH0.6051431n distinct rev codes (+0.40), n imaging lines (+0.24), icu (+0.16)
02PAX3ZREMOVAL OF INFUSION DEVICE FROM HEART, EXTERNAL APPROACH0.588898organ system count (+0.25), length of stay (+0.24), n distinct rev codes (+0.24)
B24BYZZULTRASONOGRAPHY OF HEART WITH AORTA USING OTHER CONTRAST0.588579work rvu (+1.10), multiple or days (+0.56), n j code lines (+0.56)

Tier 4 (n=11 codes)

codeDescriptionScoreN claimsKey drivers
4A133J1MONITORING OF ARTERIAL PULSE, PERIPHERAL, PERCUTANEOUS APPROACH3.871534icu (+0.67), n distinct rev codes (+0.64), work rvu (+0.61)
5A1945ZRESPIRATORY VENTILATION, 24-96 CONSECUTIVE HOURS3.8621442mechanical ventilation (+0.89), n distinct rev codes (+0.63), icu (+0.61)
4A133B1MONITORING OF ARTERIAL PRESSURE, PERIPHERAL, PERCUTANEOUS APPROACH3.740687icu (+0.68), work rvu (+0.59), relative claim charge (+0.58)
03HY32ZINSERTION OF MONITORING DEVICE INTO UPPER ARTERY, PERCUTANEOUS APPROACH3.4941694icu (+0.68), relative claim charge (+0.51), n distinct rev codes (+0.50)
0BH17EZINSERTION OF ENDOTRACHEAL AIRWAY INTO TRACHEA, VIA NATURAL OR ARTIFICIAL OPENING3.3012966relative claim charge (+0.78), mechanical ventilation (+0.75), n distinct rev codes (+0.59)
3E043XZINTRODUCTION OF VASOPRESSOR INTO CENTRAL VEIN, PERCUTANEOUS APPROACH3.2531361icu (+0.77), n imaging lines (+0.42), work rvu (+0.42)
4A10X4ZMONITORING OF CENTRAL NERVOUS ELECTRICAL ACTIVITY, EXTERNAL APPROACH2.877612n imaging lines (+1.26), n distinct rev codes (+0.62), relative claim charge (+0.34)
30243N1TRANSFUSION OF NONAUTOLOGOUS RED BLOOD CELLS INTO CENTRAL VEIN, PERCUTANEOUS APPROACH2.302647transfusion (+1.07), length of stay (+0.64), relative claim charge (+0.30)
009U3ZXDRAINAGE OF SPINAL CANAL, PERCUTANEOUS APPROACH, DIAGNOSTIC2.157704n imaging lines (+1.07), relative claim charge (+0.61), n distinct rev codes (+0.53)
0DJ08ZZINSPECTION OF UPPER INTESTINAL TRACT, VIA NATURAL OR ARTIFICIAL OPENING ENDOSCOPIC1.9251196n distinct rev codes (+0.51), length of stay (+0.44), transfusion (+0.33)

Tier 5 (n=2 codes)

codeDescriptionScoreN claimsKey drivers
5A1955ZRESPIRATORY VENTILATION, GREATER THAN 96 CONSECUTIVE HOURS6.6461273relative claim charge (+1.78), length of stay (+1.14), n distinct rev codes (+1.01)
5A1D90ZPERFORMANCE OF URINARY FILTRATION, CONTINUOUS, GREATER THAN 18 HOURS PER DAY5.504711n distinct rev codes (+1.02), relative claim charge (+0.85), length of stay (+0.81)

Key Driver Frequency

featurecountpct
n distinct rev codes4054.800
length of stay3142.500
relative claim charge3041.100
icu2939.700
n imaging lines2432.900
organ system count2027.400
work rvu1520.500
multiple or days1013.700
transfusion68.200
n distinct hcps68.200
mechanical ventilation68.200
n j code lines22.700

Key driver frequency