Skip to main content

OP - NU.0.spinal_neurostimulator

CM Codes

Data Overview

2852 total codes in komodo_rii; 48 retained after n_claims > 500 filter.

CMS severityn codes
No CC/MCC45
CC3

PCA Analysis

PC1 explains 30.5% of variance; PC1+PC2 together explain 51.3%.

PCA scree plot

Feature loadings

intensity distribution

Tier Clustering (k=3)

KMeans elbow

Tier Summary

tiern_codesn_claimswork rvuorgan system countn j code linesn distinct rev codesrelative claim chargen distinct hcpsorn imaging lines
14.0002797.00010.0514.0347.3387.9700.9130.6060.9180.004
216.00057799.00013.4163.8858.0218.2011.0090.6480.9240.003
328.00046520.00013.0244.9808.3508.4121.0090.6650.9380.002

CMS Severity × intensity Tier

cms_severityTier 1Tier 2Tier 3All
CC3003
No CC/MCC1162845
All4162848

Feature Analysis

Feature Correlation

Feature correlation heatmap

Feature Audit

pc1_loadingr_with_volumer_with_severity
avg_n_j_code_lines0.3890.118-0.295
avg_relative_claim_charge0.386-0.083-0.419
avg_work_rvu0.3830.083-0.419
avg_n_distinct_rev_codes0.382-0.262-0.196
avg_organ_system_count0.377-0.081-0.146
rate_or0.349-0.338-0.221
avg_n_distinct_hcps0.3350.011-0.332
avg_length_of_stay-0.000nannan
rate_dialysis-0.000nannan
rate_icu-0.000nannan
rate_mechanical_ventilation0.000nannan
rate_multiple_or_days-0.000nannan
avg_n_imaging_lines-0.1040.1480.149
rate_transfusion-0.1410.0340.190

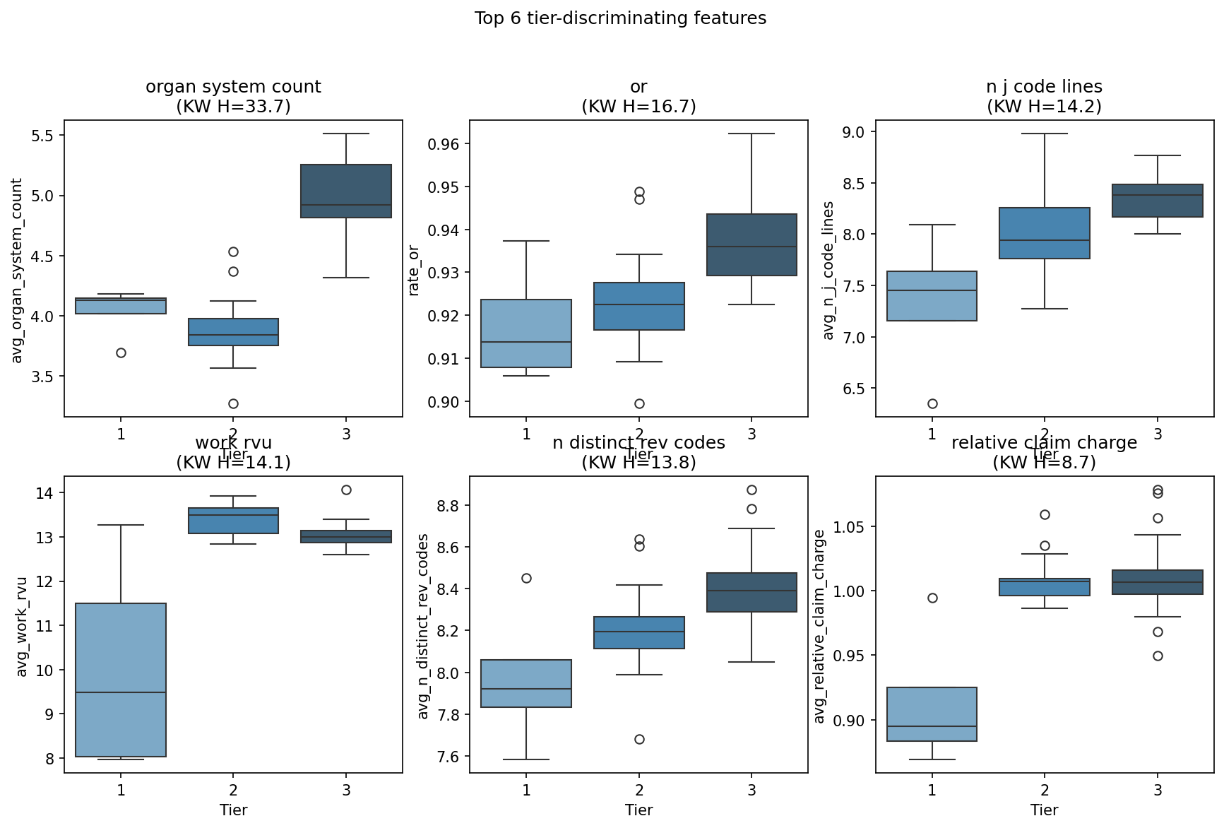
Top 6 Tier-Discriminating Features

Top 6 features

Bottom 6 Tier-Discriminating Features

Bottom 6 features

Score Validation

intensity by CMS severity

Volume vs intensity

intensity scatter

Misclassification Audit (N=10 samples)

Over-tiered: Tier 3, No CC/MCC (5 codes)

codecode_descriptioncms_severityintensity_scoretiern_claimskey_drivers
E782Mixed hyperlipidemiaNo CC/MCC2.5623692n j code lines (+0.52), or (+0.49), n distinct hcps (+0.49)
E1122Type 2 diabetes mellitus with diabetic chronic kidney diseaseNo CC/MCC2.44531007n distinct rev codes (+0.86), or (+0.76), organ system count (+0.57)
I509Heart failure, unspecifiedNo CC/MCC1.7523629relative claim charge (+0.56), or (+0.55), n distinct rev codes (+0.29)
M1990Unspecified osteoarthritis, unspecified siteNo CC/MCC1.47431717n distinct rev codes (+0.42), n j code lines (+0.29), organ system count (+0.28)
I110Hypertensive heart disease with heart failureNo CC/MCC1.3733649or (+0.53), relative claim charge (+0.43), n distinct hcps (-0.31)

Under-tiered: Tier 1, MCC (0 codes)

None.

Top Codes by Tier

Tier 1 (n=4 codes)

codeDescriptionCMS severityScoreN claimsKey drivers
T85192AOther mechanical complication of implanted electronic neurostimulator of spinal cord electrode (lead), initial encounterCC-3.309515relative claim charge (-1.01), work rvu (-0.68), or (-0.64)
M5417Radiculopathy, lumbosacral regionNo CC/MCC-3.348734n j code lines (-1.54), n distinct rev codes (-1.10), organ system count (-0.52)
T85113ABreakdown (mechanical) of implanted electronic neurostimulator, generator, initial encounterCC-4.794815work rvu (-1.68), relative claim charge (-1.34), n distinct rev codes (-0.59)
T85193AOther mechanical complication of implanted electronic neurostimulator, generator, initial encounterCC-5.864733work rvu (-1.65), relative claim charge (-1.15), n distinct hcps (-0.86)

Tier 2 (n=16 codes)

codeDescriptionCMS severityScoreN claimsKey drivers
M4726Other spondylosis with radiculopathy, lumbar regionNo CC/MCC0.1071500organ system count (-0.48), n distinct rev codes (+0.45), or (+0.38)
G629Polyneuropathy, unspecifiedNo CC/MCC0.0811115n distinct rev codes (-0.48), n distinct hcps (+0.34), work rvu (+0.32)
E119Type 2 diabetes mellitus without complicationsNo CC/MCC0.0403335n distinct rev codes (+0.51), or (-0.38), n distinct hcps (-0.11)
I10Essential (primary) hypertensionNo CC/MCC-0.1159655or (-0.23), n distinct rev codes (-0.11), transfusion (+0.07)
M48062Spinal stenosis, lumbar region with neurogenic claudicationNo CC/MCC-0.2271032relative claim charge (+0.59), organ system count (-0.47), work rvu (+0.35)
M5136NoneNo CC/MCC-0.248716organ system count (-0.38), work rvu (+0.24), or (-0.19)
M549Dorsalgia, unspecifiedNo CC/MCC-0.267739n j code lines (+0.70), or (-0.56), organ system count (-0.37)
M5412Radiculopathy, cervical regionNo CC/MCC-0.424719n distinct rev codes (-0.95), n distinct hcps (+0.79), organ system count (-0.79)
G8929Other chronic painNo CC/MCC-0.4664886n j code lines (+0.49), or (-0.38), organ system count (-0.30)
M48061Spinal stenosis, lumbar region without neurogenic claudicationNo CC/MCC-0.6411545organ system count (-0.41), or (-0.29), work rvu (+0.18)

Tier 3 (n=28 codes)

codeDescriptionCMS severityScoreN claimsKey drivers
E782Mixed hyperlipidemiaNo CC/MCC2.562692n j code lines (+0.52), or (+0.49), n distinct hcps (+0.49)
E1122Type 2 diabetes mellitus with diabetic chronic kidney diseaseNo CC/MCC2.4451007n distinct rev codes (+0.86), or (+0.76), organ system count (+0.57)
I509Heart failure, unspecifiedNo CC/MCC1.752629relative claim charge (+0.56), or (+0.55), n distinct rev codes (+0.29)
M1990Unspecified osteoarthritis, unspecified siteNo CC/MCC1.4741717n distinct rev codes (+0.42), n j code lines (+0.29), organ system count (+0.28)
I110Hypertensive heart disease with heart failureNo CC/MCC1.373649or (+0.53), relative claim charge (+0.43), n distinct hcps (-0.31)
E1142Type 2 diabetes mellitus with diabetic polyneuropathyNo CC/MCC1.3511035relative claim charge (+0.79), n distinct rev codes (+0.58), work rvu (+0.40)
G43909Migraine, unspecified, not intractable, without status migrainosusNo CC/MCC1.342573n distinct hcps (+0.47), n j code lines (+0.37), organ system count (+0.31)
E6601Morbid (severe) obesity due to excess caloriesNo CC/MCC1.2081468n j code lines (+0.49), n distinct hcps (+0.18), relative claim charge (+0.14)
E669Obesity, unspecifiedNo CC/MCC1.1412673n distinct hcps (+0.47), n j code lines (+0.28), or (+0.09)
I252Old myocardial infarctionNo CC/MCC1.122720n distinct hcps (+0.43), or (+0.28), transfusion (-0.23)

Key Driver Frequency

featurecountpct
organ system count3368.800
or2858.300
n distinct hcps2041.700
n j code lines1837.500
n distinct rev codes1735.400
relative claim charge1327.100
work rvu918.800
transfusion510.400
n imaging lines12.100

Key driver frequency