OP - DE.0.cyst_aspiration
CM Codes
Data Overview
8592 total codes in komodo_rii; 77 retained after n_claims > 500 filter.
| CMS severity | n codes |
|---|---|
| No CC/MCC | 70 |
| CC | 7 |
PCA Analysis
PC1 explains 43.6% of variance; PC1+PC2 together explain 64.2%.



Tier Clustering (k=3)

Tier Summary
| tier | n_codes | n_claims | work rvu | n j code lines | n distinct rev codes | relative claim charge | organ system count | or | n distinct hcps | n imaging lines |
|---|---|---|---|---|---|---|---|---|---|---|
| 1 | 48.000 | 70202.000 | 2.983 | 0.942 | 2.316 | 0.833 | 1.607 | 0.253 | 0.466 | 0.020 |
| 2 | 25.000 | 31713.000 | 5.342 | 2.689 | 3.847 | 1.668 | 3.316 | 0.298 | 0.439 | 0.107 |
| 3 | 4.000 | 3736.000 | 16.433 | 9.336 | 8.001 | 4.205 | 2.170 | 0.768 | 0.666 | 0.070 |
CMS Severity × intensity Tier
| cms_severity | Tier 1 | Tier 2 | Tier 3 | All |
|---|---|---|---|---|
| CC | 7 | 0 | 0 | 7 |
| No CC/MCC | 41 | 25 | 4 | 70 |
| All | 48 | 25 | 4 | 77 |
Feature Analysis
Feature Correlation

Feature Audit
| pc1_loading | r_with_volume | r_with_severity | |
|---|---|---|---|
| avg_relative_claim_charge | 0.439 | -0.054 | -0.134 |
| avg_n_distinct_rev_codes | 0.425 | -0.030 | -0.124 |
| avg_work_rvu | 0.423 | -0.146 | 0.045 |
| avg_n_j_code_lines | 0.420 | -0.072 | -0.055 |
| rate_transfusion | 0.313 | 0.037 | 0.002 |
| rate_or | 0.254 | 0.070 | -0.163 |
| avg_organ_system_count | 0.209 | -0.162 | -0.024 |
| avg_n_imaging_lines | 0.204 | -0.039 | 0.051 |
| rate_icu | 0.098 | -0.151 | -0.013 |
| avg_n_distinct_hcps | 0.091 | 0.089 | 0.012 |
| rate_dialysis | 0.080 | -0.244 | -0.074 |
| avg_length_of_stay | 0.000 | nan | nan |
| rate_mechanical_ventilation | 0.000 | nan | nan |
| rate_multiple_or_days | 0.000 | nan | nan |
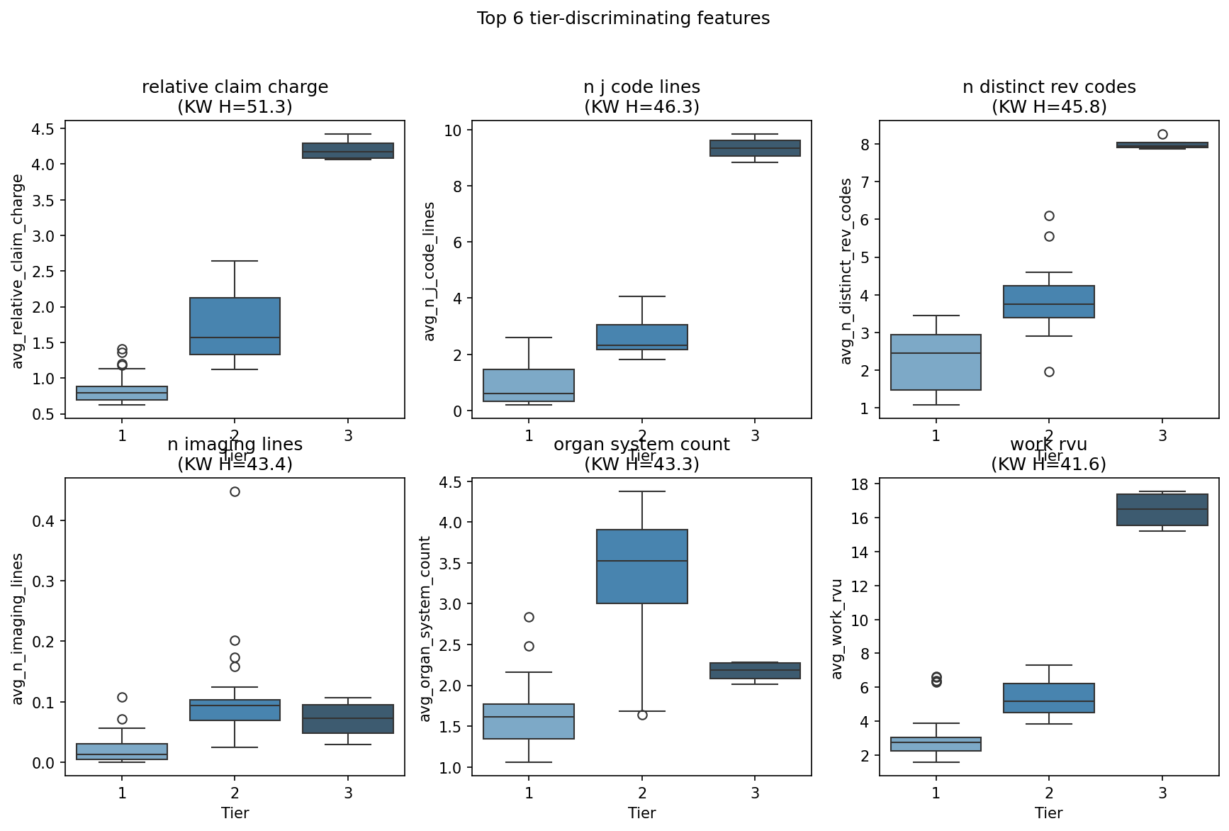
Top 6 Tier-Discriminating Features

Bottom 6 Tier-Discriminating Features

Score Validation



Misclassification Audit (N=10 samples)
Over-tiered: Tier 3, No CC/MCC (4 codes)
| code | code_description | cms_severity | intensity_score | tier | n_claims | key_drivers |
|---|---|---|---|---|---|---|
| N838 | Other noninflammatory disorders of ovary, fallopian tube and broad ligament | No CC/MCC | 7.762 | 3 | 685 | work rvu (+1.71), relative claim charge (+1.64), n j code lines (+1.57) |
| N83201 | Unspecified ovarian cyst, right side | No CC/MCC | 7.630 | 3 | 1222 | n j code lines (+1.48), relative claim charge (+1.47), work rvu (+1.46) |
| N736 | Female pelvic peritoneal adhesions (postinfective) | No CC/MCC | 7.187 | 3 | 651 | work rvu (+1.68), n j code lines (+1.63), relative claim charge (+1.55) |
| N83202 | Unspecified ovarian cyst, left side | No CC/MCC | 6.735 | 3 | 1178 | relative claim charge (+1.46), n j code lines (+1.42), work rvu (+1.41) |
Under-tiered: Tier 1, MCC (0 codes)
None.
Top Codes by Tier
Tier 1 (n=48 codes)
| code | Description | CMS severity | Score | N claims | Key drivers |
|---|---|---|---|---|---|
| F17200 | Nicotine dependence, unspecified, uncomplicated | No CC/MCC | -0.171 | 503 | transfusion (+0.19), organ system count (+0.14), or (-0.13) |
| C787 | Secondary malignant neoplasm of liver and intrahepatic bile duct | CC | -0.212 | 593 | work rvu (+0.29), or (-0.26), icu (+0.24) |
| C7951 | Secondary malignant neoplasm of bone | CC | -0.435 | 932 | work rvu (+0.28), or (-0.27), n distinct rev codes (-0.18) |
| C9000 | Multiple myeloma not having achieved remission | CC | -0.510 | 889 | n distinct rev codes (-0.33), or (-0.31), work rvu (+0.25) |
| M533 | Sacrococcygeal disorders, not elsewhere classified | No CC/MCC | -0.511 | 920 | relative claim charge (-0.33), work rvu (-0.26), n imaging lines (+0.18) |
| M899 | Disorder of bone, unspecified | No CC/MCC | -0.571 | 686 | or (-0.31), work rvu (+0.24), n distinct rev codes (-0.23) |
| N610 | Mastitis without abscess | No CC/MCC | -0.695 | 802 | n j code lines (-0.34), or (+0.22), work rvu (-0.19) |
| E041 | Nontoxic single thyroid nodule | No CC/MCC | -0.748 | 812 | or (+0.36), n j code lines (-0.33), organ system count (-0.21) |
| G8929 | Other chronic pain | No CC/MCC | -0.777 | 3085 | n distinct rev codes (-0.27), work rvu (-0.18), transfusion (-0.14) |
| N644 | Mastodynia | No CC/MCC | -0.803 | 1377 | n j code lines (-0.34), or (+0.24), work rvu (-0.19) |
Tier 2 (n=25 codes)
| code | Description | CMS severity | Score | N claims | Key drivers |
|---|---|---|---|---|---|
| N281 | Cyst of kidney, acquired | No CC/MCC | 2.449 | 1717 | n imaging lines (+1.28), n distinct rev codes (+0.83), or (+0.49) |
| E669 | Obesity, unspecified | No CC/MCC | 2.380 | 1060 | relative claim charge (+0.71), n j code lines (+0.44), n distinct rev codes (+0.39) |
| F32A | Depression, unspecified | No CC/MCC | 2.197 | 731 | relative claim charge (+0.45), n distinct rev codes (+0.41), organ system count (+0.39) |
| F419 | Anxiety disorder, unspecified | No CC/MCC | 2.177 | 1071 | relative claim charge (+0.56), n j code lines (+0.43), n distinct rev codes (+0.41) |
| F17290 | Nicotine dependence, other tobacco product, uncomplicated | No CC/MCC | 2.085 | 510 | dialysis (+0.40), transfusion (+0.37), icu (+0.30) |
| K219 | Gastro-esophageal reflux disease without esophagitis | No CC/MCC | 1.960 | 1911 | relative claim charge (+0.44), organ system count (+0.41), n j code lines (+0.34) |
| E6601 | Morbid (severe) obesity due to excess calories | No CC/MCC | 1.944 | 605 | relative claim charge (+0.63), n j code lines (+0.38), n distinct rev codes (+0.33) |
| D649 | Anemia, unspecified | No CC/MCC | 1.908 | 1294 | transfusion (+1.18), relative claim charge (+0.51), work rvu (+0.27) |
| G4733 | Obstructive sleep apnea (adult) (pediatric) | No CC/MCC | 1.760 | 554 | relative claim charge (+0.50), organ system count (+0.47), icu (+0.26) |
| J45909 | Unspecified asthma, uncomplicated | No CC/MCC | 1.736 | 1376 | n distinct rev codes (+0.31), n j code lines (+0.31), organ system count (+0.29) |
Tier 3 (n=4 codes)
| code | Description | CMS severity | Score | N claims | Key drivers |
|---|---|---|---|---|---|
| N838 | Other noninflammatory disorders of ovary, fallopian tube and broad ligament | No CC/MCC | 7.762 | 685 | work rvu (+1.71), relative claim charge (+1.64), n j code lines (+1.57) |
| N83201 | Unspecified ovarian cyst, right side | No CC/MCC | 7.630 | 1222 | n j code lines (+1.48), relative claim charge (+1.47), work rvu (+1.46) |
| N736 | Female pelvic peritoneal adhesions (postinfective) | No CC/MCC | 7.187 | 651 | work rvu (+1.68), n j code lines (+1.63), relative claim charge (+1.55) |
| N83202 | Unspecified ovarian cyst, left side | No CC/MCC | 6.735 | 1178 | relative claim charge (+1.46), n j code lines (+1.42), work rvu (+1.41) |
Key Driver Frequency
| feature | count | pct |
|---|---|---|
| work rvu | 43 | 55.800 |
| relative claim charge | 37 | 48.100 |
| n j code lines | 37 | 48.100 |
| n distinct rev codes | 32 | 41.600 |
| or | 29 | 37.700 |
| organ system count | 19 | 24.700 |
| transfusion | 12 | 15.600 |
| n imaging lines | 11 | 14.300 |
| icu | 8 | 10.400 |
| dialysis | 3 | 3.900 |
