OP - RA.0.echocardiography
CM Codes
Data Overview
18393 total codes in komodo_rii; 203 retained after n_claims > 500 filter.
| CMS severity | n codes |
|---|---|
| No CC/MCC | 139 |
| CC | 48 |
| MCC | 16 |
PCA Analysis
PC1 explains 56.1% of variance; PC1+PC2 together explain 65.9%.



Tier Clustering (k=3)

Tier Summary
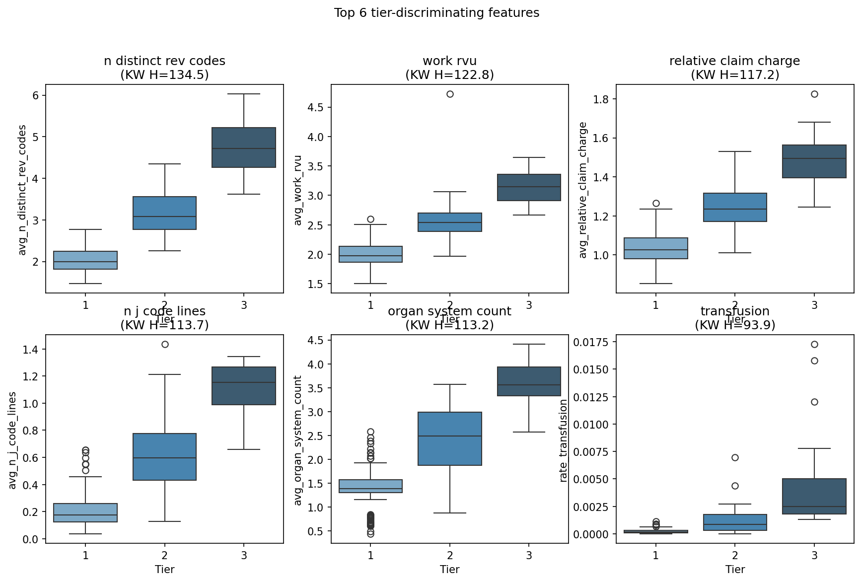
| tier | n_codes | n_claims | n distinct rev codes | organ system count | work rvu | n j code lines | relative claim charge | n distinct hcps | n imaging lines | transfusion |
|---|---|---|---|---|---|---|---|---|---|---|
| 1 | 133.000 | 7375066.000 | 2.027 | 1.391 | 1.999 | 0.208 | 1.040 | 0.701 | 0.051 | 0.000 |
| 2 | 50.000 | 1537183.000 | 3.182 | 2.424 | 2.563 | 0.616 | 1.241 | 0.640 | 0.112 | 0.001 |
| 3 | 20.000 | 309974.000 | 4.726 | 3.599 | 3.138 | 1.102 | 1.492 | 0.487 | 0.188 | 0.005 |
CMS Severity × intensity Tier
| cms_severity | Tier 1 | Tier 2 | Tier 3 | All |
|---|---|---|---|---|
| CC | 34 | 11 | 3 | 48 |
| MCC | 11 | 5 | 0 | 16 |
| No CC/MCC | 88 | 34 | 17 | 139 |
| All | 133 | 50 | 20 | 203 |
Feature Analysis
Feature Correlation

Feature Audit
| pc1_loading | r_with_volume | r_with_severity | |
|---|---|---|---|
| avg_n_distinct_rev_codes | 0.370 | -0.203 | 0.031 |
| avg_n_j_code_lines | 0.345 | 0.024 | -0.166 |
| avg_relative_claim_charge | 0.339 | -0.205 | -0.076 |
| avg_work_rvu | 0.329 | -0.206 | -0.020 |
| avg_organ_system_count | 0.326 | -0.120 | -0.196 |
| rate_icu | 0.313 | -0.063 | 0.082 |
| avg_n_imaging_lines | 0.250 | -0.147 | -0.213 |
| rate_transfusion | 0.241 | -0.206 | 0.045 |
| rate_or | 0.206 | -0.126 | -0.120 |
| rate_dialysis | 0.174 | 0.167 | 0.014 |
| rate_mechanical_ventilation | 0.162 | 0.192 | 0.008 |
| avg_length_of_stay | 0.000 | nan | nan |
| rate_multiple_or_days | 0.000 | nan | nan |
| avg_n_distinct_hcps | -0.311 | -0.007 | 0.084 |
Top 6 Tier-Discriminating Features

Bottom 6 Tier-Discriminating Features

Score Validation



Misclassification Audit (N=10 samples)
Over-tiered: Tier 3, No CC/MCC (5 codes)
| code | code_description | cms_severity | intensity_score | tier | n_claims | key_drivers |
|---|---|---|---|---|---|---|
| D631 | Anemia in chronic kidney disease | No CC/MCC | 9.257 | 3 | 5727 | dialysis (+2.02), transfusion (+1.29), icu (+1.05) |
| E876 | Hypokalemia | No CC/MCC | 8.523 | 3 | 11232 | icu (+1.26), n distinct hcps (+1.19), n distinct rev codes (+1.09) |
| F32A | Depression, unspecified | No CC/MCC | 7.138 | 3 | 11921 | icu (+1.15), work rvu (+0.99), n j code lines (+0.93) |
| E8342 | Hypomagnesemia | No CC/MCC | 6.880 | 3 | 7619 | mechanical ventilation (+1.29), n distinct rev codes (+1.07), icu (+0.76) |
| I160 | Hypertensive urgency | No CC/MCC | 6.847 | 3 | 6901 | n distinct hcps (+1.61), icu (+1.15), n distinct rev codes (+1.07) |
Under-tiered: Tier 1, MCC (5 codes)
| code | code_description | cms_severity | intensity_score | tier | n_claims | key_drivers |
|---|---|---|---|---|---|---|
| Q244 | Congenital subaortic stenosis | MCC | -1.678 | 1 | 6877 | organ system count (-0.41), n j code lines (-0.25), n distinct hcps (-0.24) |
| Q203 | Discordant ventriculoarterial connection | MCC | -1.534 | 1 | 12608 | organ system count (-0.45), n j code lines (-0.32), n imaging lines (-0.18) |
| Q213 | Tetralogy of Fallot | MCC | -1.411 | 1 | 22063 | organ system count (-0.44), n j code lines (-0.33), n distinct rev codes (-0.21) |
| I5021 | Acute systolic (congestive) heart failure | MCC | -1.344 | 1 | 9562 | relative claim charge (-0.44), work rvu (-0.38), icu (+0.36) |
| Q256 | Stenosis of pulmonary artery | MCC | -1.287 | 1 | 15250 | organ system count (-0.46), n j code lines (-0.29), n distinct hcps (-0.18) |
Top Codes by Tier
Tier 1 (n=133 codes)
| code | Description | CMS severity | Score | N claims | Key drivers |
|---|---|---|---|---|---|
| I6529 | Occlusion and stenosis of unspecified carotid artery | No CC/MCC | -0.055 | 8126 | relative claim charge (+0.17), transfusion (-0.11), n j code lines (-0.09) |
| J849 | Interstitial pulmonary disease, unspecified | CC | -0.116 | 14948 | n imaging lines (+0.59), n distinct hcps (-0.44), n j code lines (-0.28) |
| I4821 | Permanent atrial fibrillation | CC | -0.128 | 25401 | n j code lines (+0.20), n imaging lines (-0.17), work rvu (-0.13) |
| I951 | Orthostatic hypotension | No CC/MCC | -0.173 | 12069 | relative claim charge (-0.26), n distinct hcps (+0.26), or (-0.11) |
| I480 | Paroxysmal atrial fibrillation | No CC/MCC | -0.177 | 256837 | n j code lines (+0.24), n imaging lines (-0.15), organ system count (-0.09) |
| I495 | Sick sinus syndrome | No CC/MCC | -0.191 | 24486 | n j code lines (+0.16), n imaging lines (-0.15), icu (-0.10) |
| I872 | Venous insufficiency (chronic) (peripheral) | No CC/MCC | -0.265 | 9971 | or (+0.26), icu (-0.20), n distinct hcps (-0.14) |
| I5023 | Acute on chronic systolic (congestive) heart failure | MCC | -0.270 | 9506 | relative claim charge (-0.27), work rvu (-0.21), n imaging lines (-0.15) |
| I4811 | Longstanding persistent atrial fibrillation | CC | -0.327 | 15568 | n j code lines (+0.26), icu (-0.16), n imaging lines (-0.14) |
| Q250 | Patent ductus arteriosus | CC | -0.352 | 21123 | mechanical ventilation (+0.74), organ system count (-0.53), n j code lines (-0.29) |
Tier 2 (n=50 codes)
| code | Description | CMS severity | Score | N claims | Key drivers |
|---|---|---|---|---|---|
| E039 | Hypothyroidism, unspecified | No CC/MCC | 3.519 | 44012 | n distinct rev codes (+0.65), n j code lines (+0.58), work rvu (+0.48) |
| J439 | Emphysema, unspecified | No CC/MCC | 3.505 | 8375 | n imaging lines (+0.98), relative claim charge (+0.42), organ system count (+0.40) |
| J45909 | Unspecified asthma, uncomplicated | No CC/MCC | 3.487 | 19107 | n j code lines (+0.57), work rvu (+0.56), organ system count (+0.53) |
| N1830 | Chronic kidney disease, stage 3 unspecified | No CC/MCC | 3.478 | 19655 | n distinct rev codes (+0.66), organ system count (+0.64), n j code lines (+0.58) |
| E1165 | Type 2 diabetes mellitus with hyperglycemia | No CC/MCC | 3.046 | 14499 | n distinct rev codes (+0.61), n distinct hcps (+0.58), organ system count (+0.41) |
| N186 | End stage renal disease | MCC | 2.956 | 19865 | dialysis (+1.16), relative claim charge (+0.31), n distinct rev codes (+0.30) |
| N189 | Chronic kidney disease, unspecified | No CC/MCC | 2.667 | 21832 | organ system count (+0.59), n distinct rev codes (+0.53), n j code lines (+0.53) |
| N184 | Chronic kidney disease, stage 4 (severe) | CC | 2.428 | 10028 | n distinct rev codes (+0.48), organ system count (+0.47), transfusion (+0.40) |
| I483 | Typical atrial flutter | CC | 2.405 | 11531 | work rvu (+1.76), n j code lines (+1.04), n distinct hcps (+0.26) |
| E669 | Obesity, unspecified | No CC/MCC | 2.335 | 46087 | n j code lines (+0.54), work rvu (+0.45), organ system count (+0.37) |
Tier 3 (n=20 codes)
| code | Description | CMS severity | Score | N claims | Key drivers |
|---|---|---|---|---|---|
| N179 | Acute kidney failure, unspecified | CC | 10.149 | 12676 | icu (+1.51), n distinct hcps (+1.48), n distinct rev codes (+1.33) |
| E871 | Hypo-osmolality and hyponatremia | CC | 9.813 | 6350 | icu (+1.43), relative claim charge (+1.36), n distinct hcps (+1.17) |
| D631 | Anemia in chronic kidney disease | No CC/MCC | 9.257 | 5727 | dialysis (+2.02), transfusion (+1.29), icu (+1.05) |
| E876 | Hypokalemia | No CC/MCC | 8.523 | 11232 | icu (+1.26), n distinct hcps (+1.19), n distinct rev codes (+1.09) |
| F32A | Depression, unspecified | No CC/MCC | 7.138 | 11921 | icu (+1.15), work rvu (+0.99), n j code lines (+0.93) |
| E8342 | Hypomagnesemia | No CC/MCC | 6.880 | 7619 | mechanical ventilation (+1.29), n distinct rev codes (+1.07), icu (+0.76) |
| I160 | Hypertensive urgency | No CC/MCC | 6.847 | 6901 | n distinct hcps (+1.61), icu (+1.15), n distinct rev codes (+1.07) |
| N400 | Benign prostatic hyperplasia without lower urinary tract symptoms | No CC/MCC | 6.209 | 8097 | relative claim charge (+1.04), n distinct rev codes (+1.01), n j code lines (+0.84) |
| F17210 | Nicotine dependence, cigarettes, uncomplicated | No CC/MCC | 6.171 | 24696 | icu (+0.98), work rvu (+0.88), relative claim charge (+0.83) |
| D649 | Anemia, unspecified | No CC/MCC | 5.607 | 20954 | transfusion (+1.73), n distinct rev codes (+0.67), organ system count (+0.58) |
Key Driver Frequency
| feature | count | pct |
|---|---|---|
| n distinct rev codes | 106 | 52.200 |
| relative claim charge | 103 | 50.700 |
| work rvu | 91 | 44.800 |
| n j code lines | 88 | 43.300 |
| organ system count | 70 | 34.500 |
| n distinct hcps | 52 | 25.600 |
| icu | 39 | 19.200 |
| n imaging lines | 38 | 18.700 |
| transfusion | 7 | 3.400 |
| or | 6 | 3.000 |
| mechanical ventilation | 6 | 3.000 |
| dialysis | 3 | 1.500 |
